Statistický koutek – Sword of the Divine
i Zdroj: Tryhard.cz
Novinky League of Legends Článek Statistický koutek – Sword of the Divine

Statistický koutek – Sword of the Divine

1

Na dnešní mušce máme Sword of the Divine a otázku, s jakou pravděpodobností se aktivuje do určité vteřiny hry.

Odměníme každého! Vyplňte komunitní průzkum a získejte luxusní ceny

Odměníme každého! Vyplňte komunitní průzkum a získejte luxusní ceny

Kdo jste, na čem a co hrajete, jaký obsah konzumujete a jaký vztah máte k AI? Věnujte nám pár minut a jako dárek za vyplnění získáte slevu na nákup a šanci získat také další luxusní ceny.

Reklama

Poznámka autora: Tento statistický koutek je tvořen pro hráče. Pokud máte jakékoliv tipy, nebojte se ozvat do zpráv naší facebookové stránky. Příští díl by měl být věnován taktice, zda vykupovat šampiony, aby se tím zvýšila pravděpodobnost na kýženého šampiona.

Díl 1: Attack speed po patchi 9.14


V dnešním statistickém koutku se podíváme na Sword of the Divine. Určitě jste si kladli otázku, zda se jej kvůli pravděpodobnosti (jen 7 %) vyplatí stavět.

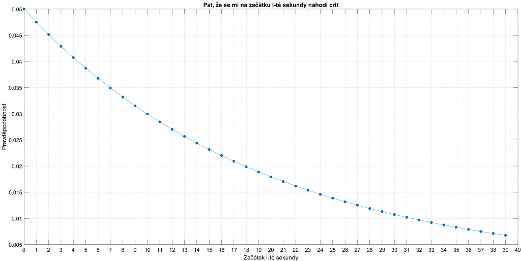
Každý zápas trvá 40 sekund, přičemž každou sekundu se ‘háže kostkou’, zda se Sword of the Divine aktivuje nebo ne. První hození je na začátku zápasu, čili v nulté sekundě, a poslední v 39. sekundě. Následující graf znázorňuje, jaká je pravděpodobnost, že se až v i-té sekundě předmět aktivuje.

Statistický koutek – Sword of the Divine

Pro porovnání následující graf ukazuje, jaká pravděpodobnost byla před patchem 9.15b, tj. při 5 % na aktivaci.

Statistický koutek – Sword of the Divine

Ono to sice nevypadá jako nějaký terno, ale pojďme se podívat, s jakou pravděpodobností se mi do začátku i-té sekundy aktivuje předmět. Jinak řečeno, odběhnu si do kuchyně pro jídlo/pití, přiběhnu v i-té sekundě a s jakou pravděpodobností budu mít aktivovaný crit.

Statistický koutek – Sword of the Divine

Což už vypadá pozitivněji. Například v 9. vteřině budeme mít crit s šancí více než 50 %.

Následující graf ukazuje, jaká kumulativní pravděpodobnost by byla při aktivaci 5 %.

Statistický koutek – Sword of the Divine

Tady bychom si museli počkat až do 13. vteřiny, aby se crit aktivoval s šancí více než 50 %. Úprava z 5 na 7 % zapříčinila dřívejší aktivaci, konkrétně o 4 sekundy (~31 %).

Pro porovnání oba grafy v jednom:

Statistický koutek – Sword of the Divine

Ač se to moc nezdá, tak posun z 5 na 7 % je značný, což dokazuje výše uvedený graf.


Zajímalo by vás konkrétně něco? Nebo návrh na další článek? Pište do zpráv naší facebookové stránky.


Reklama
Reklama

Komentáře

Nejsi přihlášený(á)

Pro psaní a hodnocení komentářů se prosím přihlas ke svému účtu nebo si jej vytvoř.

Rychlé přihlášení přes:

Reklama
Reklama