Statistický koutek – attack speed po patchi 9.14
i Zdroj: Tryhard.cz
TFT novinky TeamFight Tactics Článek Statistický koutek – attack speed po patchi 9.14

Statistický koutek – attack speed po patchi 9.14

Dnes se podíváme na velké změny attack speedu v patchi 9.14. V hledáčku bude i boost Vayne a Ragebladu.

Odměníme každého! Vyplňte komunitní průzkum a získejte luxusní ceny

Odměníme každého! Vyplňte komunitní průzkum a získejte luxusní ceny

Kdo jste, na čem a co hrajete, jaký obsah konzumujete a jaký vztah máte k AI? Věnujte nám pár minut a jako dárek za vyplnění získáte slevu na nákup a šanci získat také další luxusní ceny.

Reklama

Poznámka autora: Tento statistický koutek je tvořen pro hráče. Pokud máte jakékoliv tipy, nebojte se ozvat do zpráv naší facebookové stránky. Příští díl by měl být věnován předmětu Sword of the Divine a otázce, s jakou pravděpodobností se aktivuje do určité vteřiny.


V dnešním statistickém koutku se podíváme na změny attack speedu, který si pro nás připravil patch 9.14. Tento díl je trochu opožděný, neboť se tento patch dostal do hry 17.7.

Riot změnil attack speed tak, že jeho bonus je nyní vypočítávám ze základní rychlosti útoku dané postavy. Šampioni s nižší rychlostí útoku tedy získají menší bonus.

Dále by nás mohla zajímat Vayne s Ragebladem, neboť v této kombinaci jsme ji mohli poměrně často vidět. Vayne se zvýšil attack speed z 0,60 na 0,65 a Rageblade si polepšil hned nadvakrát. Jednak došlo ke změně u Recurve Bow, kde namísto +15% attack speedu máme +20%, a také došlo ke změně pasivky, kdy se každým zásahem zvyšuje attack speed ne o 3%, ale o 4%. Suma sumárum co to znamená? Bude Vayne s Ragebladem silnější než před patchem?

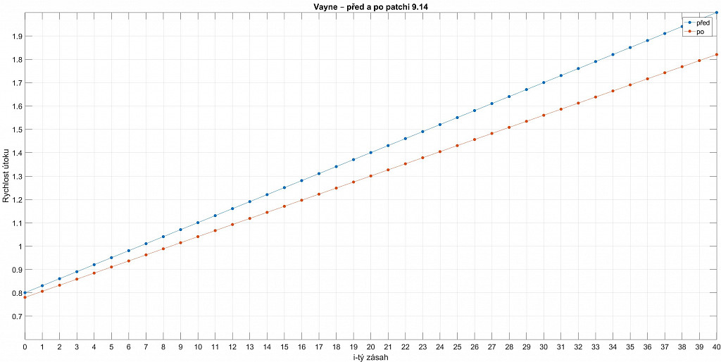
Nejdříve se podívejme na graf vývoje jejího attack speedu. Budeme brát modelovou situaci, kdy máme jednohvězdičkovou Vayne, která bez přestání zasáhne cíl 40krát.

Statistický koutek – attack speed po patchi 9.14

Očividně jí změna propočtu attack speedu nepomohla a ani její boost a boost Ragebladu to nezachránil.

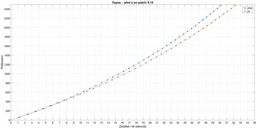
Nyní se podívejme, jak vypadá její celkové poškození, které udělí v jednotlivých sekundách. Zase to vezmeme s ohledem na 40 zásahů. Ovšem do grafu nezapočítáme její pasivku, neboť tohle poškození se dost různí.

Statistický koutek – attack speed po patchi 9.14

Jak vidno, zpočátku rozdíl není poznat, ale později se rozdíl více a více prohlubuje. Před patchem jí stačilo na zasáhnutí čtyřiceti ran něco málo nad 30 vteřin, zatímco po patchi potřebuje o dvě vteřiny více. Samosebou i její pasivní schopnost by se aktivovala rychle, a tím by i rozdíl vzrostl.

Závěrem stačí zopakovat výše uvedené – změna propočtu attack speedu Vayně nepomohla a její boost a ani boost Ragebladu to nezachránil.


Zajímalo by vás konkrétně něco? Nebo návrh na další článek? Pište do zpráv naší facebookové stránky.


Reklama
Reklama

Komentáře

Nejsi přihlášený(á)

Pro psaní a hodnocení komentářů se prosím přihlas ke svému účtu nebo si jej vytvoř.

Rychlé přihlášení přes:

Reklama
Reklama